添加链接
link管理
链接快照平台
  • 输入网页链接,自动生成快照
  • 标签化管理网页链接
相关文章推荐
大力的枕头  ·  ERROR: Cannot create ...·  1 年前    · 
一身肌肉的山楂  ·  c++ read lines from ...·  2 年前    · 

坦克世界教学【配件篇03——旋转的选择】

专栏 / 坦克世界教学【配件篇03——旋转的选择】

坦克世界教学【配件篇03——旋转的选择】

2022年01月03日 22:11 --阅读 · --喜欢 · IRON-CROW
粉丝: 481 文章: 4

点赞关注收藏日后找解答不迷路呀

瞄准镜的说明会在下一期,敬请期待。

终于开坑大家希望解说的旋转配件的选择了,这期旋转的主要选择对象为:

  1. 等级较低的,无法上垂稳的坦克,例如KV-2

  2. 弹夹和弹鼓机制的,无法上输弹机而多出来一个配件槽,如暴风、TVP T50/51和T57等

  3. 都不能上垂稳的反坦克TD,例如T30、AMX福熙B等

  4. 可以上通风的自行火炮SPG,例如征服者GC、M53/M55

这些车都可以上炮控,所以旋转配件和炮控的取舍成了一件非常困难的事,通过分析,发现这俩数据还蛮复杂的,这里就梳理下这俩配件的选择思路和优劣。

一:移动与实际精度(三扩极差的KV-2和三扩极好的查涤纶暴风)

1.1 KV-2

大家也知道我的数据来源是从tanks.gg上面来的了,这里就不继续放图了,直接放结果 (真正原因:UP主太懒了,专栏太难写了 UP主:我不是,我没有,别瞎说)

首先,我们假设KV2在进行瞄准的时候是炮塔不动的,尽量直进直出开炮,即只考虑车体移动扩圈:

P1.赏金旋转和紫炮控

老实讲这个差距看上去并不是太大,如果只是低速移动探头开炮的话,确实赏金旋转会好一点,但是满速下的缩圈时间,明显紫炮控占优。

另外,有些人玩低级车并不舍得上改进型和赏金的配件,那么这里给出的是普通配件的对比:

P2.普通旋转(加成槽)和普通炮控(加成槽)

其实差距并不大,毕竟旋转带了加成槽也只有0.125的增益,和赏金的0.15的增益相比,表现并不明显。(如果毛子日后考虑出紫旋转,我估计紫炮控更下水道了)

P3.普通旋转(加成槽)和普通炮控(加成槽)‍ 10km/h 25km/h 35km/h停车实际精度对比

很明显,无论是赏金旋转和紫炮控对比,还是普通旋转和普通炮控对比, 10km/h 是个分界点。如果你习惯在出门给对面灌一发152前缩完圈,而且是低速拉出去的(此处点名表扬沙叔叔的习惯),那么旋转绝对是更好的选择,但是有人喜欢高速移动然后缩圈,那么只能用炮控,还有的人喜欢高速甩炮的,那么就旋转最好,毕竟高速移动下依然保持着相对低一点的实际精度,只不过瞄准时间长那么一点点而已,反正差别不大。

如果有人问经常转炮塔和转车体还高速移动的车咋办:

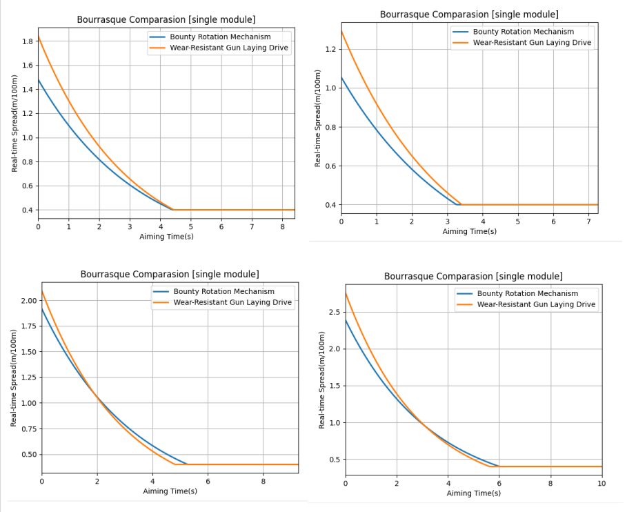
P4左.赏金旋转和紫炮控                P4右.普通旋转(加成槽)和普通炮控(加成槽)
P5左.赏金旋转和紫炮控                                    P5右.普通旋转(加成槽)和普通炮控(加成槽)

瞄准时间上明显无论啥速度下旋转要多0.5s的瞄准时间,实际精度上也是和以上结论差不多的。同时也提个建议:低级车炮控基本没几个好的, 尽量缩完圈,一定要尽量提早缩圈!

那么如果不移动而只是低速转炮塔呢?

P6左.赏金旋转和紫炮控         P6右.普通旋转(加成槽)和普通炮控(加成槽)‍

10°/sec旋转炮塔定点射击,还是旋转好。然而如果高速转炮塔的话,因为旋转对炮塔转速的加成,导致表现反而比炮控差一点,但是其实如果考虑到旋转会使炮先于炮控锁定目标,能得到一个多余的时间差去瞄准,其实也没差。

冷知识: 通风和兄弟连对旋转速度有加成,但不会优化三扩,这个时候旋转和垂稳表现更差,其实和上了涡轮瞄准圈更大一个道理。

1.2 暴风

一般来说暴风可以直接用垂稳的,但是考虑到有些人着实不喜欢暴风这个过长的瞄准时间,所以在上了垂稳之后,还加了炮控,但是也有人加旋转来优化暴风鸡肋的车体转向,同时也希望优化炮的实际精度。

暴风这个T0车,肯定不少人舍得上紫装和赏金配件,这里就不对普通配件做进一步的分析了,具体情况,从高级配件上也可以猜测到一二。

这里就对暴风带了紫垂稳之后余下来的配件槽为旋转和炮控的情况进行分析。

P7.紫垂稳+紫炮控 和紫垂稳+赏金旋转对比(无旋转速度)

在无炮塔旋转和车体旋转的情况下,旋转的表现明显优于炮控,但是如果加上了就会变成这样(车体和炮塔各30°/sec):

P7.紫垂稳+紫炮控 和紫垂稳+赏金旋转对比

如果旋转速度拉满,就是下面这个场景了(赏金旋转的旋转速度要比改进型炮控高):

P7.紫垂稳+紫炮控 和紫垂稳+赏金旋转对比

这里先不急着下定论,我们来看看旋转和炮控在实际精度上的表现:

P8.实际精度表现

P8左上.速度62km/h,旋转速度0   P8右上.速度0km/h,旋转速度各30°/sec

P8左下.速度0km/h,旋转速度拉满    P8左下.速度62km/h,旋转速度拉满

可以看见紫炮控其实也就最多稍微缩短0.2s左右的时间,但是赏金旋转在大多数情况下,尤其是高速情况下,获得了良好的实际精度,甚至是不旋转的情况下,依然实际精度优于紫炮控,紧急情况下开火的命中率显然更高。

总结: 这些数据图表分析起来比较复杂,但是看得出来炮控要发挥优势的条件极为苛刻,需要 同时 满足四个条件: 1.高速移动+高速旋转    2.需要停车缩圈    3.需要完全缩圈    4.敌人在你瞄准的时候一动不动

如果有人确实是这么玩的,那么这种情况下长达6秒多的缩圈,请问还有机会输出吗?

更何况,在瞄准的时候,只要敌人动了半分,准星需要移动,这时的扩圈,依然是旋转的实际精度优于炮控的,这意味着,打击移动目标和移动的弱点,更需要旋转。

而旋转要发挥优势的覆盖面比较广,而且就算存在和炮控之间的劣势也可以用操作来弥补。(这里再次点名表扬沙叔叔挂一档不动炮塔挪出去开炮的习惯,这种情况直接旋转不用想了)

归根结底,我们可以考虑 炮控 ,但要发挥起优势的情况也 仅仅只是高速移动下停车缩圈并保证缩完圈了开炮,并且是打击远距离不动目标的 ,例如KV-2、T30、FV4005、FV215B183、卡利班和自行火炮大系。

但情况也不绝对,如果是想 中近距离作战的,需要保证随时开火的准确率,确保敌人移动的时候也能准确命中的,同时也需要自身拥有良好的机动性的 ,而且具备预瞄准和预缩圈习惯的, 旋转 绝对是更好的选择。

二:开火与实际精度(AMX50福熙B)

这里就挑这俩来讲一讲弹夹车上旋转和炮控的开火实际精度对比。

这里就不提单发车,因为单发车的开火实际精度没有必要去研究,无论开火实际精度多少,在装填完基本都能缩完圈,只有弹夹车需要着重研究开火后短时间内的实际精度来决定下一发炮弹打出去的情况。

P9.紫炮控和赏金旋转
P10.紫炮控和普通旋转(加成槽)

我觉得这可以一锤定音了,紫炮控在下一发开炮的时候实际精度为0.479m/100m,而赏金旋转在下一发开炮的时候实际精度为0.473m/100m,普通旋转(加成槽)开火实际精度是0.487m/100m,如果是中近距离连续瞄着弱点开炮,明显赏金旋转更有效(更何况赏金旋转能够增加坦克的机动性)。

而且考虑到大部分TD都是门缝射界,动一下就得重新缩圈,参考 P8右上 ,如果是小范围移动导致圈扩大而缩圈,赏金旋转能够提供更快的瞄准速度和更低的扩圈实际精度。

P8右上.暴风旋转30°/sec赏金旋转和紫炮控对比(防止有人不知道图在哪)

结论: 所以对于停止状态下连续开炮,而且有时候需要微调射击角度的弹夹车,请选择 普通旋转或者赏金旋转 ,而非 紫炮控

这一期绘制了这么多图,拉了不少数据,中间还发现有些地方做错了推倒重来,看在UP主这么辛苦的份上点个免费的赞和关注吧QAQ





投诉或建议
个人手柄练枪项目原理讲解【Rainhood】
声明:本教程是仅针对右摇杆基本功所开发出来的速成练习方法,旨在节省个人练习时间,精简练习,也可用于热身保持状态、快速复健,不包含左摇杆辅助瞄准等技巧。 至于基本功和技巧哪个更重要见仁见智,我的视频是自己总结的经验,应B站私信和评论区的观众们要求分享出来,全仅个人主观研究,不标榜客观,不追求认同。原视频:1.背弹道压枪平行步枪后坐力趋势 背弹道是一个快速建立压枪肌肉记忆的技巧。主动地把弹道趋势和变向时机记下来,就不用多花时间硬压盲压一遍遍试错。拿着一个自己总结出来的正确模板一遍遍练肌肉记忆相较于一遍遍试错出
策划直通车 | 特工评分系统与武器模块系统研发日志
特工你好!感谢您的支持与关注。本期策划直通车将为您简要介绍特工评分系统与武器模块系统相关内容,详细系统描述请特工以届时官网资料及游戏实际体验为准。 ● 特工评分系统 ●一、什么是特工评分:本次测试将上线特工评分系统,该系统的主要作用在于辅助特工判断自身以及队友综合实力,协助特工在成长过程中更有针对性的提升装备实力。特工评分由特工各个武器和装备的评分构成,武器装备的评分受到等级、品质、解锁以及优化进度综合影响。二、高峰大厦挑战新增特工评分要求我们优化了高峰大厦的整体难度,并增加了与难度相匹配的特工评分要求。