添加链接
link管理
链接快照平台
  • 输入网页链接,自动生成快照
  • 标签化管理网页链接
首发于 R语言学习
R语言学习:ggplot2包画图

R语言学习:ggplot2包画图

作者:陆勤
个人公众号:R语言
知乎专栏:R语言学习

2022年第11周,12周,13周,14周。


R语言学习,这些周记录如下。


我做医学科研,用ggplot2包画图;我做风控工作,也用ggplot2包画图。



01

ggplot2概述


ggplot2是R语言最流行的画图包,基于图层化语法的思想设计和创建美观优雅的图形。


ggplot2绘图流程,如图1所示:




图1 ggplot2绘图流程

ggplot2绘图流程,具体步骤如下。

第一步:获取要绘图的整洁数据(涉及到数据整洁和操作的知识)

第二步:整洁数据做映射操作,确定x,y,color,size,shape,alpha等

第三步:选择合适的几何对象(根据画图的目的、变量的类型和个数)

第四步:坐标系和刻度配置

第五步:标签信息和图例信息

第六步:选择合适的主题


ggplot2的语法包括10个部件。

  1. 数据(data)
  2. 映射(mapping)
  3. 几何对象(geom)
  4. 标度(scale)
  5. 统计变换(stats)
  6. 坐标系(coord)
  7. 位置调整(Position adjustments)
  8. 分面(facet)
  9. 主题(theme)
  10. 输出(output)


前3个是必须的,其它部件ggplot2会自动配置,也可以手动配置。


ggplot2基本绘图模板:


注意:

1)添加图层的加号(+)只能放在行末尾

2)红色方框里面mapping是全局域,绿色方框里面mapping是局部域,执行先后顺序,先局部域,后全局域



02

ggplot2画图必要部件-数据,映射和几何对象


2.1 数据

数据(Data)用于画图的整洁数据。

何为整洁数据?如图2所示。



图2 整洁数据

library(tidyverse)


ggplot()先只提供数据,创建一个空图形。

# ggplot()先提供整洁数据,生成一个空图形

2.2 映射

映射,把数据变量集与图形属性库建立关联。

最常用的映射有:

x:x轴

y:y轴

color:颜色

size:大小

shape:形状

fill:填充

alpha:透明度

以mpg数据集为例,把变量displ和hwy分别映射到x和y,变量drv映射到color,此时图形就有了坐标轴和网格线,color需要在有了几何对象后才能体现出来。

# 映射操作
ggplot(data = mpg, mapping = aes(x = displ, 
                                 y = hwy,
                                 color = drv))

2.3 几何对象

几何对象是表达数据的视觉对象。

不同类型的几何对象是从不同的角度表达数据。

ggplot2提供了50多种“几何对象”,均以geom_xxxx()的方式命名,常用的有:





画几何对象很简单,只需要添加图层即可。

例如,以mpg数据集为例,画散点图。

ggplot(data = mpg, mapping = aes(x = displ, 
                                 y = hwy,
                                 color = drv)) +
  geom_point()



图层依次叠加,在上图的基础上,再添加一个几何对象:光滑曲线。

# 继续增加一个几何对象:光滑曲线
# 写法1
ggplot(data = mpg, mapping = aes(x = displ, 
                                 y = hwy,
                                 color = drv)) +
  geom_point() +
  geom_smooth(se=FALSE)



# 写法2
ggplot(data = mpg, mapping = aes(x = displ, y = hwy)) +
  geom_point(aes(color = drv)) +
  geom_smooth(se=FALSE)



思考题:

1)写法1和写法2的差异?(全局域和局部域的使用差异)

2)写法2若是要实现写法1的功能,怎么编写代码?


03

标度

ggplot2会自动根据输入变量选择最优的坐标刻度方法,若要手动设置或调整,就需要使用标度函数。

标度函数用来控制几何对象中的标度映射(x轴,y轴或者由color,fill,shape,size产生的图例)。

ggplot2提供丰富的标度函数,常用的有:


拓展功能:scales包提供很多设置刻度标签风格的函数,比如百分数、科学计数法法、美元格式等。

3.1 修改坐标轴刻度及标签

连续变量使用scale_*_continuous()函数,参数breaks设置各个刻度的位置,参数labels设置各个刻度对应的标签。

离散变量使用scale_*_discrete()函数,修改离散变量坐标轴的标签。

时间变量使用scale_x_date()函数设置日期刻度,参数date_breaks设置刻度间隔,date_labels设置标签的日期格式

以mpg数据集为例,修改连续变量坐标轴刻度及标签。

# scale_y_continuous函数
# 对比分析和观察
ggplot(mpg, aes(displ, hwy)) +
  geom_point()
ggplot(mpg, aes(displ, hwy)) +
  geom_point() +
  scale_y_continuous(breaks = seq(15, 40, by = 10))
ggplot(mpg, aes(displ, hwy)) +
  geom_point() +
  scale_y_continuous(breaks = seq(15, 40, by = 10),
                     labels = c(" 一五 "," 二五 "," 三五 "))


以mpg数据集为例,修改离散变量的标签

# scale_x_discrete函数
# 对比分析和观察
ggplot(mpg, aes(x = drv)) +
  geom_bar()
ggplot(mpg, aes(x = drv)) +
  geom_bar() +
  scale_x_discrete(labels = c("4" = " 四驱 ", "f" = " 前驱 ",
                              "r" = " 后驱 "))




以ggplot2自带的economics数据集为例,修改日期变量。

# scale_x_date函数
# 以ggplot2自带的economics为例
economics %>% glimpse()
ggplot(tail(economics, 45), aes(date, uempmed / 100)) +
  geom_line() 
ggplot(tail(economics, 45), aes(date, uempmed / 100)) +
  geom_line() +
  scale_x_date(date_breaks = "6 months", date_labels = "%Y-%b") +
  scale_y_continuous(labels = scales::percent)




3.2 修改坐标轴标签、图例名及图例位置

用labs()函数参数x,y或者xlab(),ylab(),设置x轴,y轴标签。

若用参数color生成了图例,可以在labs()函数用参数color修改图例名。

用theme图层的参数legend.position设置图例的位置。


以mpg数据为例。

# 修改坐标轴标签,图例名和图例位置
ggplot(mpg, aes(displ, hwy)) +
  geom_point(aes(color = drv)) +
  labs(x = " 引擎大小 (L)", y = " 高速燃油率 (mpg)",
       color = " 驱动类型 ") +
  theme(legend.position = "top")
ggplot(mpg, aes(displ, hwy)) +
  geom_point(aes(color = drv)) +
  xlab(" 引擎大小 (L)") + 
  ylab(" 高速燃油率 (mpg)") +
  labs(color = " 驱动类型 ") + 
  theme(legend.position = "top")
# 图3 不需要图例
ggplot(mpg, aes(displ, hwy)) +
  geom_point(aes(color = drv)) +
  xlab(" 引擎大小 (L)") + 
  ylab(" 高速燃油率 (mpg)") + 
  theme(legend.position = "none")





3.3 设置坐标轴的范围

用coord_cartesian()函数参数xlim和ylim,或者用xlim(),ylim()设置x轴和y轴的范围。

以mpg数据集为例。

# 修改坐标轴的范围
# 图1 coord_cartesian()的参数xlim和ylim
ggplot(mpg, aes(displ, hwy)) +
  geom_point(aes(color = drv)) +
  coord_cartesian(xlim = c(5, 7), ylim = c(10, 30))
# 图2 xlim()和ylim()函数
ggplot(mpg, aes(displ, hwy)) +
  geom_point(aes(color = drv)) +
  xlim(5, 7) +
  ylim(10, 30)

3.4 变换坐标轴

用scale_x_log10()函数变换坐标系,可以保持原始数据的坐标刻度。

# 修改坐标轴的范围
# 图1 coord_cartesian()的参数xlim和ylim
ggplot(mpg, aes(displ, hwy)) +
  geom_point(aes(color = drv)) +
  coord_cartesian(xlim = c(5, 7), ylim = c(10, 30))
# 图2 xlim()和ylim()函数
ggplot(mpg, aes(displ, hwy)) +
  geom_point(aes(color = drv)) +
  xlim(5, 7) +
  ylim(10, 30)



3.5 设置图形标题

用labs()函数设置图形标题。

  • 参数title 设置正标题
  • 参数subtitle 设置副标题
  • 参数caption 设置脚注标题(默认右下角)
# 设置标题
# mpg数据集为例
p <-  ggplot(mpg, aes(displ, hwy)) +
  geom_point(aes(color = drv)) +
  geom_smooth(se = FALSE) +
  labs(title = " 燃油效率与引擎大小的关系图 ",
       subtitle = " 两座车 ( 跑车 ) 因重量小而符合预期 ",
       caption = " 数据来自 fueleconomy.gov")
p



标题若要居中,采用theme图层设置。

p + theme(plot.title = element_text(hjust = 0.5), 
          plot.subtitle = element_text(hjust = 0.5))



3.6 设置color、fill颜色

数据的某个维度信息可以通过颜色来表示。

可以直接使用颜色值,建议使用RColorBrewer(调色板)或者colorspace包。

1)连续变量

- 用scale_color_gradient()设置二色渐变色。

# 连续变量
# 图1 scale_color_gradient()函数
ggplot(mpg, aes(displ, hwy, color = hwy)) +
  geom_point() +
  scale_color_gradient(low = "green", high = "red")



- 用scale_color_distiller()设置调色板中的颜色

# 图2 scale_color_distiller()函数
ggplot(mpg, aes(displ, hwy, color = hwy)) +
  geom_point() +
  scale_color_distiller(palette = "Set1")


2)离散变量

- 用scale_color_manual()手动设置颜色,还可以修改图例及其标签信息

# 离散变量
# 图1 scale_color_manual()函数
ggplot(mpg, aes(displ, hwy, color = drv)) +
  geom_point() +
  scale_color_manual(" 驱动方式 ", 
                     values = c("red", "blue", "green"),
                     breaks = c("4", "f", "r"))
ggplot(mpg, aes(displ, hwy, color = drv)) +
  geom_point() +
  scale_color_manual(" 驱动方式 ", 
                     values = c("red", "blue", "green"),
                     labels = c(" 四驱 ", " 前驱 ", " 后驱 "))



- 用scale_fill_brewer()调用调色板中的颜色

# 图2 scale_fill_brewer()函数
ggplot(mpg, aes(x = class, fill = class)) +
  geom_bar() +
  scale_fill_brewer(palette = "Dark2")




3.7 添加文字标注

ggrepel包提供了geom_label_repel()函数或者geom_text_repel()函数,为图形添加文字标注。

操作步骤:
第一步:先准备好标记点的数据
第二步:增加文字标注图层,包括标记点的数据和标注的文字给label参数

# 设置文字标注信息
library(ggrepel)
# 选取每种车型 hwy 值最大的样本
best_in_class <-  mpg %>% 
  group_by(class) %>%
  slice_max(hwy, n = 1)
best_in_class %>% select(class, model, hwy)
ggplot(mpg, aes(displ, hwy)) +
  geom_point(aes(color = class)) +
  geom_label_repel(data = best_in_class,
                   aes(label = model))

04

统计变换、坐标系和位置调整


4.1 统计变换

统计变换是构建新的统计量而画图。

例如,条形图或直方图,是对数据分组的频数做画图;平滑曲线是对数据拟合模型的预测值画图。


ggplot2可以把统计变换直接融入画图中,不必先在对数据做统计变换后再画图。


ggplot2提供30多种统计,均以stats_xxx()的方式命名。

1)可在几何对象中直接使用的统计变换,直接使用几何对象就可以了。



2)不能在几何对象创建的,而需要单独使用。


以mpg数据集为例。

stat_summary()做统计绘图并汇总。

# 图1 stat_summary()做统计绘图并汇总
p <- ggplot(mpg, aes(x = class, y = hwy)) +
  geom_violin(trim = FALSE, alpha = 0.5, color = "green") 
p + stat_summary(fun = mean,
               fun.min = function (x) {mean(x) - sd(x)},
               fun.max = function (x) {mean(x) + sd(x)},
               geom = "pointrange", 
               color = "red")



stat_smooth()添加光滑曲线,与geom_smooth()相同。

参数method设置平滑曲线的拟合方法,如lm线性回归、glm广义线性回归、loess多项式回归、gam广义加法模型(mgcv包)、rlm稳健回归(MASS包)等。

参数formula指定平滑曲线方程,如y ~ x, y ~ poly(x, 2), y ~ log(x)等。

参数se设置是否绘制置信区间。

# 图2 stat_smooth()添加平滑曲线
ggplot(mpg, aes(displ, hwy)) +
  geom_point() +
  stat_smooth(method = "lm",
              formula = y ~ splines::bs(x, 3),
              se = FALSE)
ggplot(mpg, aes(displ, hwy)) +
  geom_point() +
  geom_smooth(method = "lm",
              formula = y ~ splines::bs(x, 3),
              se = FALSE)


4.2 坐标系

ggplot2默认是直角坐标系。

- coord_cartesian()

常用的其它坐标系:

以mpg数据集为例,坐标轴翻转。

# 图1 坐标轴翻转coord_flip()
p <- ggplot(mpg, aes(class, hwy)) +
  geom_boxplot()
p + coord_flip()



直角坐标下条形图转换为极坐标下玫瑰图。

# 图2 直角坐标条形图-->极坐标玫瑰图
p <- ggplot(mpg, aes(class, fill = drv)) +
  geom_bar() 
p + coord_polar()




4.3 位置调整

条形图的位置调整

# 图1:条形图条形位置调整
ggplot(mpg, aes(class, fill = drv)) +
  geom_bar()
ggplot(mpg, aes(class, fill = drv)) +
  geom_bar(position = "dodge")
ggplot(mpg, aes(class, fill = drv)) +
  geom_bar(position = position_dodge(preserve = "single"))


散点图的散点位置调整

# 图1:散点图的散点位置调整
ggplot(mpg, aes(displ, hwy)) +
  geom_point()
ggplot(mpg, aes(displ, hwy)) +
  geom_point(position = "jitter")

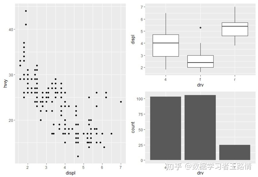
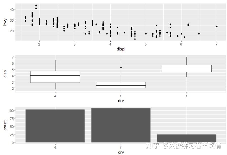
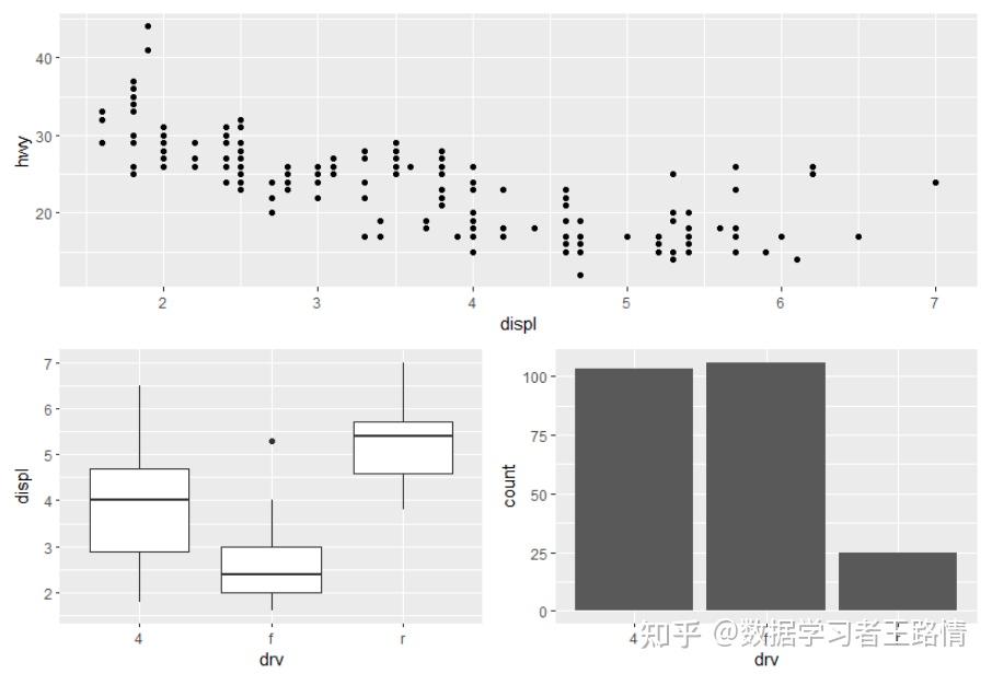
用patchwork包排布多个图形

library(patchwork)
p1 <-  ggplot(mpg, aes(displ, hwy)) +
  geom_point()
p2 <-  ggplot(mpg, aes(drv, displ)) +
  geom_boxplot()
p3 <-  ggplot(mpg, aes(drv)) +
  geom_bar()
p1 | (p2 / p3)
p1 | p2 | p3
p1 / p2 / p3
p1 / (p2 | p3)


05

分面

利用分类变量把图形分成若干“子图”(面),实际上就是对数据分组后再画图,属于数据分析里面细分和下钻的思想。

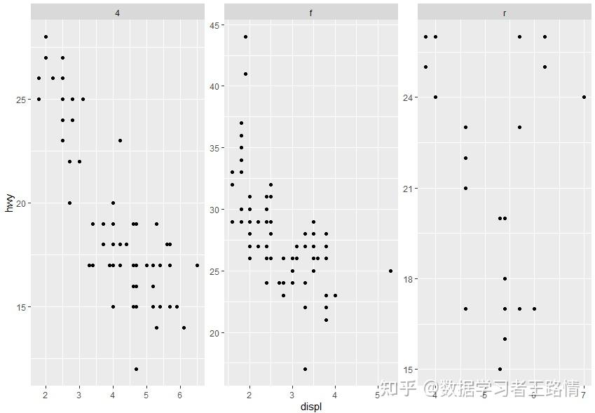
5.1 用facet_wrap()函数

封装分面,先生成一维的面板系列,再封装到二维中。

语法形式:~ 分类变量 或者 ~ 分类变量1 + 分类变量2

参数scales设置是否共用坐标刻度,fixed 默认 共用, free 不共用,还可以额通过free_x,free_y单独设置。

# 5.1 封装封面
ggplot(mpg, aes(displ, hwy)) +
  geom_point() +
  facet_wrap(~ drv)
ggplot(mpg, aes(displ, hwy)) +
  geom_point() +
  facet_wrap(~ drv, scales = "free")
ggplot(mpg, aes(displ, hwy)) +
  geom_point() +
  facet_wrap(~ drv + cyl)


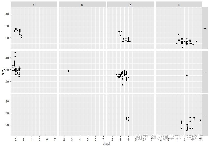
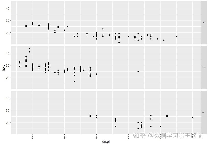
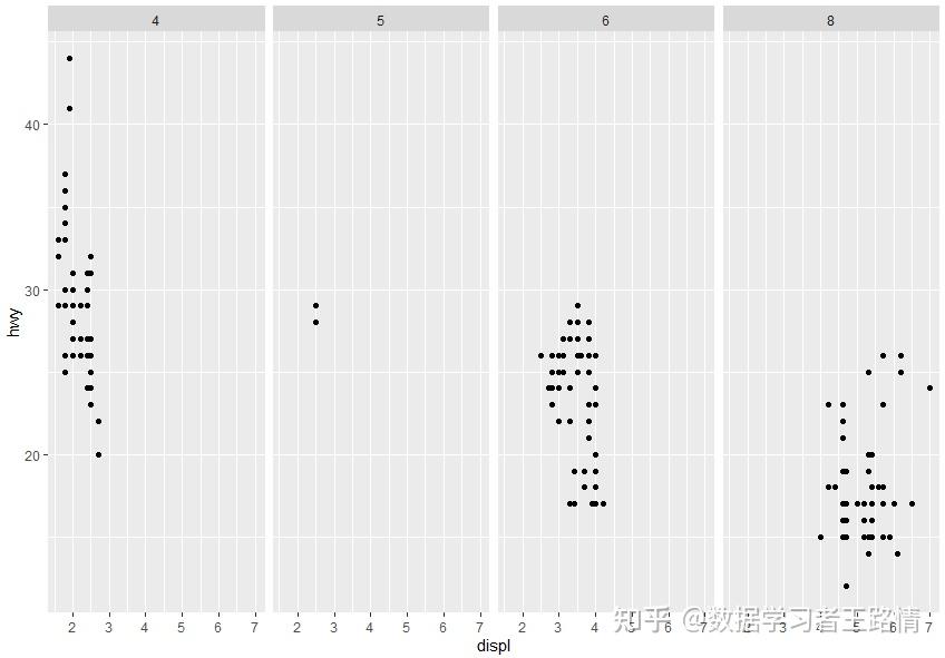
5.2 用facet_grid()函数

网格分面,生成二维的面板网格,面板的行和列通过分面变量定义。

语法形式:行分类变量~列分类变量

# 5.2 网格分面
ggplot(mpg, aes(displ, hwy)) +
  geom_point() +
  facet_grid(drv ~ cyl)
ggplot(mpg, aes(displ, hwy)) +
  geom_point() +
  facet_grid(drv ~ .)
ggplot(mpg, aes(displ, hwy)) +
  geom_point() +
  facet_grid(. ~ cyl)


06

主题


主题用于配置图形的风格。

ggplot2提供了8套可选主题。


可以使用theme()函数定制自己的主题,或者使用ggthemes,ggpubr包提供的主题。

使用主题,只需要添加主题层。

p <- ggplot(mpg, aes(displ, hwy, color = drv)) +
  geom_point()
p + theme_classic()
p + ggthemes::theme_economist()
p + ggthemes::theme_economist_white()
p + ggthemes::theme_fivethirtyeight()
p + ggthemes::theme_stata()






07

输出

用ggsave()函数,把当前图形或者图形对象保存为想要格式图形文件,如png,pdf,svg等。

p <- ggplot(mpg, aes(displ, hwy, color = drv)) +
  geom_point()
p + theme_classic()
p + ggthemes::theme_economist()
p + ggthemes::theme_economist_white()
p + ggthemes::theme_fivethirtyeight()
p + ggthemes::theme_stata()


注意: 参数 width 和 height 通常只设置其中一个,另一个自动,以保持原

图形宽高比。

问题:中文文字导出PDF乱码的问题。

因为R 环境只载入了 ”sans (Arial)“,”serif (Times New

Roman)“,”mono (Courier New)“ 三种英文字体,没有中文字体可用。

解决方案:

使用showtext 包从系统字体中载入中文字体。

载入字体后,再执行一下 showtext_auto(),就可以使用该字体了。

ggpplot2 中各种设置主题、文本相关的函数 *_text(), annotate()

等,都提供了 family 参数。

设定为 font_add() 中一致的 family 名字即可。

# 输出PDF包含中文解决方案
library(showtext)
font_add("heiti", "simhei.ttf")
font_add("kaiti", "simkai.ttf")
showtext_auto()
ggplot(mpg, aes(displ, hwy, color = drv)) +
  geom_point() +
  theme(axis.title = element_text(family = "heiti"),
        plot.title = element_text(family = "kaiti")) +
  xlab(" 发动机排量 (L)") +
  ylab(" 高速里程数 (mpg)") +
  ggtitle(" 汽车发动机排量与高速里程数 ") 
ggsave("font_example.pdf", width = 7, height = 4)


08

拓展

使用ggplot画图,画出高质量的图。

了解和使用这些R包,可以当做画图的准备工作吧。


  • {ggplot2} , part of the {tidyverse} package collection
  • {tidyverse} package collection, namely
    • {dplyr} for data wrangling
    • {tibble} for modern data frames
    • {tidyr} for data cleaning
    • {forcats} for handling factors
  • {colorspace} for manipulating colors
  • {corrr} for calculating correlation matrices
  • {cowplot} for composing ggplots
  • {ggdark} for themes and inverting colors
  • {ggforce} for sina plots and other cool stuff
  • {ggrepel} for nice text labeling
  • {ggridges} for ridge plots
  • {ggsci} for nice color palettes
  • {ggtext} for advanced text rendering
  • {ggthemes} for additional themes
  • {grid} for creating graphical objects
  • {gridExtra} for additional functions for “grid” graphics
  • {patchwork} for multi-panel plots
  • {rcartocolor} for great color palettes
  • {scico} for perceptional uniform palettes
  • {showtext} for custom fonts
  • {shiny} for interactive apps
  • a number of packages for interactive visualizations
    • {charter}
    • {echarts4r}
    • {ggiraph}
    • {highcharter}
    • {plotly}


上述R包的安装。

# install CRAN packages
install.packages(c("tidyverse", "colorspace", "corrr",  "cowplot",
                   "ggdark", "ggforce", "ggrepel", "ggridges", "ggsci",
                   "ggtext", "ggthemes", "grid", "gridExtra", "patchwork",